ニッセイ ギアモータ・減速機 総合カタログ

GTRギアモータ・減速機 総合カタログ(デジタルカタログ版)です。


>> P.1010

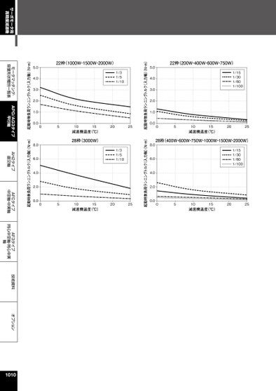
サーボモータ用高精度減速機モータマッチング・容量形状種別一覧表APG/AG3タイプ平行軸AH2タイプ直交軸AFCタイプ中空軸・中実軸AF3タイプ同心中空軸・同心中実軸技術資料オプション22枠(200W・400W・600W・750W)1/151/301/601/1005.04.03.02.01.00.0051015減速機温度(℃)202528枠(400W・600W・750W・1000W・1500W・2000W)1/151/301/601/1008.06.04.02.00.0051015減速機温度(℃)2025起動時無負荷ランニングトルク(入力軸)N・m)起動時無負荷ランニングトルク(入力軸)N・m)22枠(1000W・1500W・2000W)1/31/51/105.04.03.02.01.020251015減速機温度(℃)28枠(3000W)1/31/51/100.0058.06.04.02.00.0051015減速機温度(℃)2025起動時無負荷ランニングトルク(入力軸)N・m)起動時無負荷ランニングトルク(入力軸)N・m)1010


<< | < | > | >>